X
Email:
sales@ruixibiotech.com

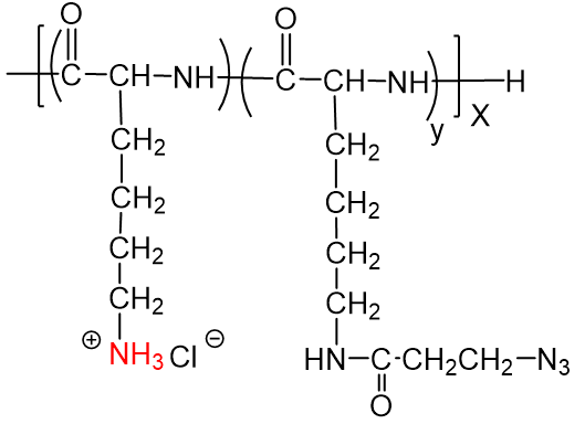
Poly-L-Lysine Azide grafted

Poly-L-Lysine Azide grafted

Catalog # Pkg Size Price(USD) Quantity Buy this product
R-C-6155 100mg 350.00
- +
+ Add to cart
R-C-6155 250mg 685.00
- +
+ Add to cart
R-C-6155 500mg 1250.00
- +
+ Add to cart

Product description

Poly-L-Lysine azide grafted(PLL-g-N3,N3-grafted-PLL)is a linear positively charged polyamino acid with grafted azide.Applications for poly-L-lysine include the promotion of cell adhesion to solid substrates for culture dishes or slides,the conjugation to active molecules for improved activities,the layer-by-layer deposition techniques,drug delivery and the complexation with nucleic acids for gene expression.

Poly-L-Lysine Azide grafted

Appearance N/A
Molecular weight N/A
purity >90%
Molecular formula N/A
Storage -20℃ protected from light and moisture
Transportation 4-25℃temperature for up to 3 weeks
Stability 1year
Document

Related Product