POLY(L-HISTIDINE) CAS:26062-48-6
POLY(L-HISTIDINE)
Product description
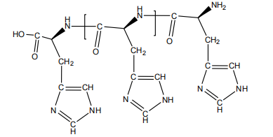
Poly(L-histidine)is a synthetic polymer composed of repeating units of the amino acid L-histidine.This polymer is known for its pH-responsive properties,especially at slightly acidic conditions,due to the imidazole side chain present in L-histidine.This product is only suitable for scientific research experiments and cannot be used in human and clinical experiments.
| Appearance | N/A |
|---|---|
| Molecular weight | N/A |
| purity | N/A |
| Molecular formula | N/A |
| Storage | -20℃ protected from light and moisture |
| Transportation | 4-25℃temperature for up to 3 weeks |
| Stability | 1year |
Document
Related Product

Items-$0.00

Email:
Tel.:
msds----POLY(L-HISTIDINE)
RuixiBiotechCo.Ltd /KamulinBiotechco.ltd
Add: Room 20F 2002, Meiyuan Building, Yanta District, Xi’ an City, Shaanxi Province 710061 China
Tel: 02988811435
Fax: (86-29)8881-1435
Email: sales@ruixibiotech.com
Web: http://www.ruixibiotech.com


