Pluronic F127-maleimide
Pluronic F127-maleimide
| Catalog # | Pkg Size | Price(USD) | Quantity | Buy this product |
|---|---|---|---|---|
| R-C-7289 | 100mg | 365.00 | + Add to cart |
|
| R-C-7289 | 250mg | 568.00 | + Add to cart |
|
|
|
||||
Product description
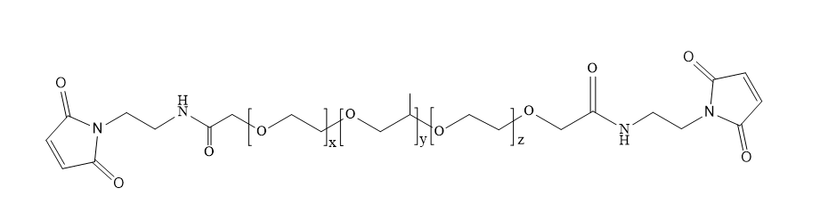
Pluronic F127-mal,Pluronic F127(F127)composite polyethylene oxide propylene oxide polyethylene oxide (PEO-PPO-PEO),where PEO is hydrophilic and PPO is lipophilic.Pluronic F127 Mal is a chemically modified Pluronic polymer material that introduces maleimide(Mal)functional groups into the basic Pluronic F127 structure.The maleimide functional groups can react rapidly with molecules containing thiol groups(-SH)for covalent crosslinking.
| Appearance | N/A |
|---|---|
| Molecular Weight | N/A |
| Solubility | N/A |
| Purity | N/A |
| Storage | -20℃,protected from light and moisture |
| Transportation | 4-25℃ temperature for up to 2-3 weeks |
| Stability | 1 year |
Document
Related Product

Items-$0.00

Email:
Tel.:
msds-----Pluronic F127-maleimide
RuixiBiotechCo.Ltd /KamulinBiotechco.ltd
Add: Room 20F 2002, Meiyuan Building, Yanta District, Xi’ an City, Shaanxi Province 710061 China
Tel: 02988811435
Fax: (86-29)8881-1435
Email: sales@ruixibiotech.com
Web: http://www.ruixibiotech.com


