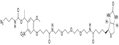
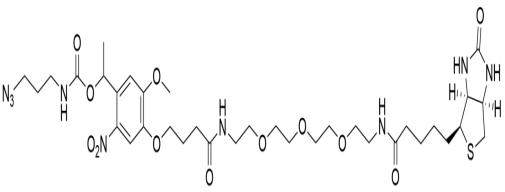
PC Biotin-N3
Photocleavable Biotin-Azide
Product description
PC Biotin-N3 ,Photocleavable Biotin-Azide from ruixi.Photocleavable Biotin-Azide(CAS:1937270-46-6)is an azide-activated photo-cleavable biotin probe that allows for reagent-free release of the captured bio-molecules from streptavidin. This reagent contains a biotin moiety linked to an azide group through a spacer arm containing a photo-cleavable moiety. Captured bio-molecules can be efficiently photo-released, typically >90% in 5-25 minutes using an inexpensive, near-UV, low intensity lamp (e.g. 365 nm lamp at 1-5 mW/cm2).
| Appearance | N/A |
|---|---|
| Molecular weight | N/A |
| Purity | >95% |
| Solubility | DMSO, DMF, THF, DCM, Chloroform |
| Cas | 1937270-46-6 |
| Storage | -20℃, protected from light and moisture |
| Transportation | 4-25℃ temperature for up to 2 weeks |
| Stability | 1 year |
Document
Related Product

Items-$0.00

Email:
Tel.:
MSDS of PC Biotin-N3
RuixiBiotechCo.Ltd /KamulinBiotechco.ltd
Add: Room 20F 2002, Meiyuan Building, Yanta District, Xi’ an City, Shaanxi Province 710061 China
Tel: 02988811435
Fax: (86-29)8881-1435
Email: sales@ruixibiotech.com
Web: http://www.ruixibiotech.com


