Heparin sodium,cas9041-08-1
Heparin sodium
Product description
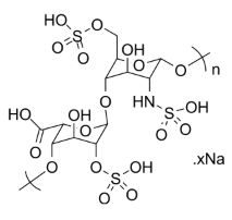
Heparin sodium, as as anti-coagulants, belongs to a class of glucans, which can interact with a variety of proteins to produce a variety of biological activities.Heparin sodium is routinely use for preventing the deep venous thrombosis in medical and surgical patients.
| Appearance | N/A |
|---|---|
| Molecular Weight | N/A |
| Purity | >90% |
| Solubility | N/A |
| Storage | -20℃, protected from light and moisture |
| Transportation | 4-25℃ temperature for up to 3 weeks |
| Stability | 1 year |
Document
Related Product

Items-$0.00

Email:
Tel.:
msds of Heparin sodium
RuixiBiotechCo.Ltd /KamulinBiotechco.ltd
Add: Room 20F 2002, Meiyuan Building, Yanta District, Xi’ an City, Shaanxi Province 710061 China
Tel: 02988811435
Fax: (86-29)8881-1435
Email: sales@ruixibiotech.com
Web: http://www.ruixibiotech.com


