Cyclo(-RGDfK) TFA
Cyclo(-RGDfK) TFA
Product description
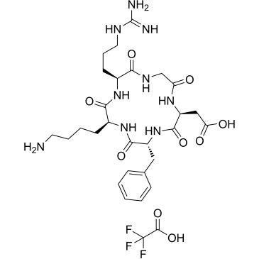
Cyclo(RGDyK) trifluoroacetate/Cyclo(-RGDfK) TFA/CAS: 500577-51-5/Cyclo(RGDyK) trifluoroacetate refers to a cyclic peptide sequence containing the RGD motif, which has been synthesized in the form of its trifluoroacetate salt.
| Appearance | N/A |
|---|---|
| Molecular Weight | 717.69 |
| Purity | >90% |
| CAS | 500577-51-5 |
| Formula | C29H42F3N9O9 |
| Storage | -20℃, protected from light and moisture |
| Transportation | 4-25℃ temperature for up to 2 weeks |
| Stability | 1 year |
Document
Related Product

Items-$0.00

Email:
Tel.:
msds of Cyclo(-RGDfK) TFA
RuixiBiotechCo.Ltd /KamulinBiotechco.ltd
Add: Room 20F 2002, Meiyuan Building, Yanta District, Xi’ an City, Shaanxi Province 710061 China
Tel: 02988811435
Fax: (86-29)8881-1435
Email: sales@ruixibiotech.com
Web: http://www.ruixibiotech.com


