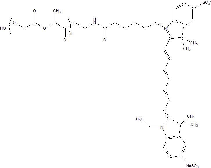
CY7-PLGA
Cyanine7-Poly(L-lactide-co-glycolide)
| Catalog # | Pkg Size | Price(USD) | Quantity | Buy this product |
|---|---|---|---|---|
| R-PL2031 | 50mg | 480.00 | + Add to cart |
|
| R-PL2031 | 100mg | 750.00 | + Add to cart |
|
|
||||
Product description
CY7-PLGA, Cyanine7-Poly(L-lactide-co-glycolide)is an Fluorescent polymerwith cy7 group, Ex/Em: 750nm-770nm, it can beused to prepare FluoresceinPLGA nanoparticles for in vivo near-infrared imaging
| Appearance | green solid |
|---|---|
| MW of PLGA | As your request |
| LA:GA | 90:10, 85:15, 75:25, 70:30, 50:50 |
| PDI by GPC | <1.6 |
| Ex/Em | 750nm-770nm |
| Solubility | Dichloromethane, Chloroform |
| Storage | -20℃ protected from light and moisture |
| Transportation | 4-25℃ temperature for up to 2 weeks |
| Stability | 12 months |
Document
Related Product

Items-$0.00

Email:
Tel.:
MSDS of CY7-PLGA
RuixiBiotechCo.Ltd /KamulinBiotechco.ltd
Add: Room 20F 2002, Meiyuan Building, Yanta District, Xi’ an City, Shaanxi Province 710061 China
Tel: 02988811435
Fax: (86-29)8881-1435
Email: sales@ruixibiotech.com
Web: http://www.ruixibiotech.com


