X
Email:
sales@ruixibiotech.com

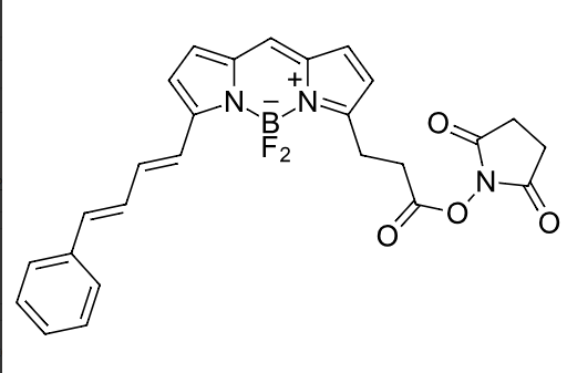
BDP 581/591 NHS-Ester

BDP 581/591 NHS-Ester

Catalog # Pkg Size Price(USD) Quantity Buy this product
R-M-5312 25mg 390.00
- +
+ Add to cart
R-M-5312 50mg 682.00
- +
+ Add to cart
R-M-5312 100mg 1175.00
- +
+ Add to cart

Product description

BDP 581/591 is a bordipyrromethene fluorophore with a relatively long fluorescence life and a clear two-photon cross-section. Through its polyene system, the molecule reacts with reactive oxygen species (ROS) changing its fluorescence properties.BDP 581/591 NHS-Ester is used for binding to primary and secondary amino groups of proteins and peptides, for example.

BDP 581/591 NHS-Ester

Appearance N/A
Molecular weight N/A
Purity >90%
Solubility DMF, DMSO, DCM
Molecular formula C26H22N3BF2O4
Cas 150152-70-8
Excitation/absorption maximum 585nm
Emission maximum 594nm
Fluorescence quantum yield 0.83
Storage -20℃, protected from light and moisture
Transportation 4-25℃ temperature for up to 2 weeks
Stability 2 years
Document

Related Product